+8618117273997weixin
English
中文简体 中文简体 en English ru Русский es Español pt Português tr Türkçe ar العربية de Deutsch pl Polski it Italiano fr Français ko 한국어 th ไทย vi Tiếng Việt ja 日本語
21 Dec, 2022 2690 Views Author: Cherry Shen

Brief Introduction of colorimeter and color difference

Concept of colorimeter:
Colorimeter is an instrument used to measure the color difference of objects. It can also be called chroma meter, and pigment colorimeter.

Classification of colorimeter:
According to different working principles, colorimeter can be divided into two categories: photoelectric integral colorimeters and spectroscopic colorimeters. Photoelectric integral colorimeter is commonly known as precision colorimeter, and spectroscopic colorimeter is commonly known as spectroscopic colorimeter. According to the size of the colorimeter, it can be divided into portable colorimeter and desktop colorimeter. The photoelectric integral colorimeter is simple in structure, low in accuracy, and only portable. The spectroscopic type can be divided into portable spectroscopic colorimeter and desktop spectroscopic tester because grating is required to divide the spectrum.

According to the orientation of the test port, it can be divided into test port at the bottom, test port at the top, test port at the side, etc. Meet the requirements of test objects in different states.

Working principle of colorimeter:
Photoelectric integrating colorimeter
Use the standard light source inside the instrument to illuminate the object to be measured, conduct an integral measurement within the entire visible wavelength range, directly measure the tristimulus value and chromaticity coordinate of the transmitted or reflected object color, and give the color difference between the measured samples through a special microcomputer system.

Brief Introduction of colorimeter and color difference

Operate on Instrument

Brief Introduction of colorimeter and color difference

Operate from APP

Automatically compare the color difference between the template and the inspected object, and output CIE_ Three groups of Lab data and four groups of color difference data after color comparison, namely △ E, △ L, △ a and △ b, provide the basis for ex factory quality inspection of products.

Spectrophotometer:
By measuring the relative spectral power distribution of the reflected light of the object, the spectrophotometer obtains the reflection spectrum of the object surface, and then multiplies it with the CIE spectral tristimulus value by weight. After integration, the tristimulus value, color coordinate, color difference and other parameters of the sample surface color are calculated. The spectrophotometer designed by the system is mainly composed of lighting and observation system, spectrophotometer system, photoelectric detection system and circuit control system.

Explanation of color difference:
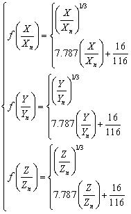
CIE1976 L * a * b * uniform color space is widely used in color matching of surface pigment industries such as coatings and building materials, also known as CIELAB uniform color space. Where L * is the lightness coordinate, representing the brightness of the color; A * b * is the chromaticity coordinate, which represents the hue and saturation of the color. Its calculation formula is:

Brief Introduction of colorimeter and color difference

Formulas for hue and saturation of colors

Where:

Brief Introduction of colorimeter and color difference

Tristimulus value of sample color

Where, X, Y, Z are the tristimulus values of the sample color;
Xn, Yn, Zn are the tristimulus values obtained by the human eye after the fully diffuse reflective object surface passes through the CIE standard illuminant, where Yn=100

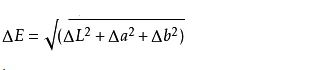
It refers to the standard deviation in the L * a * b * color space, and its size can directly indicate the perception difference of human eyes on object color. As an important indicator of color difference meter,
The formula is:

Brief Introduction of colorimeter and color difference

Index Formula of colorimeter

Wherein, refers to the difference between lightness L * and chromaticity index a *, b * between the reference sample and the tested sample.
Chromatic aberration value:
Color difference value: it refers to the difference size of object color, which is generally used internationally Δ E means.
Color difference value generally evaluates color difference and is widely used in plastics, printing, paint and ink, textile and clothing industries.

Brief Introduction of colorimeter and color difference

The formula of ΔE

LISUN lauched Portable Colorimeter/Chroma Meter is an innovation color measuring tool with powerful configuration to make color measurement easier and more professional; It support Bluetooth to connect with Android and ISO devices, Portable Colorimeter/Chroma Meter will take you into a new world of color management; It can be widely used to measure color value, color difference value and find similar color from color cards for printing industry, paint industry, textile industry, etc.

Brief Introduction of colorimeter and color difference

CD-320PRO_Portable Colorimeter/Chroma Meter

Lisun Instruments Limited was found by LISUN GROUP in 2003. LISUN quality system has been strictly certified by ISO9001:2015. As a CIE Membership, LISUN products are designed based on CIE, IEC and other international or national standards. All products passed CE certificate and authenticated by the third party lab.

Our main products are GoniophotometerIntegrating SphereSpectroradiometerSurge GeneratorESD Simulator GunsEMI ReceiverEMC Test EquipmentElectrical Safety TesterEnvironmental ChamberTemperature ChamberClimate ChamberThermal ChamberSalt Spray TestDust Test ChamberWaterproof TestRoHS Test (EDXRF)Glow Wire Test and Needle Flame Test.

Please feel free to contact us if you need any support.
Tech Dep: Service@Lisungroup.com, Cell/WhatsApp:+8615317907381
Sales Dep: Sales@Lisungroup.com, Cell/WhatsApp:+8618117273997

Tags:

Leave a Message

Your email address will not be published. Required fields are marked *

=